近日(6月22日),國家稅務總局發布了《研發機構采購國產設備增值稅退稅管理辦法》(以下簡稱“辦法”)的公告。

大批企業機構
優先采購國產設備
即日起至2023年12月31日,為規范研發機構采購國產設備增值稅退稅管理,據“辦法”了解,凡是符合條件的研發機構采購國產設備,將全額退還增值稅。
無疑,國產設備“退稅”這一操作,在一定程度上將直接帶動相關設備的采購率,那么到底哪些機構在“免稅”的范圍內呢?
據此前國家稅務總局發布的《研發機構采購國產設備增值稅退稅管理辦法》了解,以下機構采購國產設備,將退還增值稅。
(一)科技部會同財政部、海關總署和稅務總局核定的科技體制改革過程中轉制為企業和進入企業的主要從事科學研究和技術開發工作的機構;
(二)國家發展改革委會同財政部、海關總署和稅務總局核定的國家工程研究中心;
(三)國家發展改革委會同財政部、海關總署、稅務總局和科技部核定的企業技術中心;
(四)科技部會同財政部、海關總署和稅務總局核定的國家重點實驗室(含企業國家重點實驗室)和國家工程技術研究中心;
(五)科技部核定的國務院部委、直屬機構所屬從事科學研究工作的各類科研院所,以及各省、自治區、直轄市、計劃單列市科技主管部門核定的本級政府所屬從事科學研究工作的各類科研院所;
(六)科技部會同民政部核定或者各省、自治區、直轄市、計劃單列市及新疆生產建設兵團科技主管部門會同同級民政部門核定的科技類民辦非企業單位;
(七)工業和信息化部會同財政部、海關總署、稅務總局核定的國家中小企業公共服務示范平臺(技術類);
(八)國家承認學歷的實施專科及以上高等學歷教育的高等學校(以教育部門戶網站公布名單為準);
(九)符合91號公告第二條規定的外資研發中心;
(十)財政部會同國務院有關部門核定的其他科學研究機構、技術開發機構和學校。
采購國產醫療器械
全額退稅
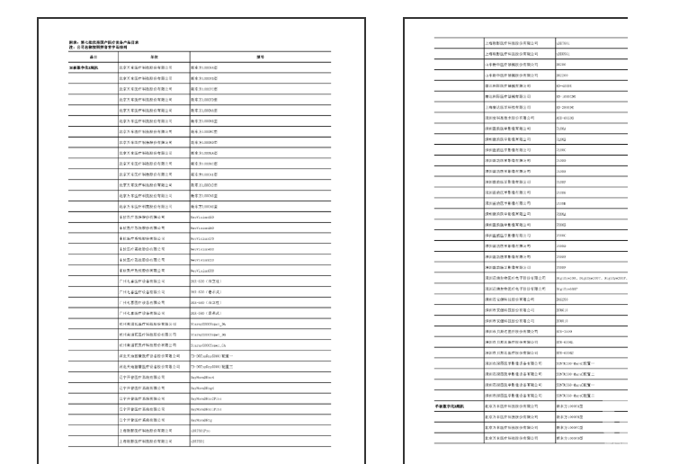
同時,根據此前國務院財政部官方發布的《關于繼續執行研發機構采購設備增值稅政策的公告》了解,在所有免稅國產設備里面,有不少國產醫療器械產品,同樣可以全額退稅。
以下為設備清單:

官方發文:
除四種情況,禁止采購進口設備
說到國產醫療設備,那自然免不了再提一下“進口醫療設備”,早年間各大醫療機構“非進口不要、非進口不用的”往事歷歷在目。
好在近年來隨著國家政策的扶持,許多國產醫療設備以及企業逐漸步入正軌,尤其是在某些細分領域更是彎道超車,實現了替代進口設備的里程碑式進程。
不論是醫療機構對于國產設備的認可度,還是各地對于進口醫療設備的“壓縮”,都在預示著國產醫療設備的黃金年代已然到來。
近期,陜西省衛生健康委發布了最新的《預算單位政府采購進口產品管理辦法》,各單位開展醫療、教學科研等工作需要采購進口設備的,必須要經過五個關鍵環節,全部通過了才可以采購進口。
而除了限制進口產品的采購流程外,該辦法還提出,采購進口產品應當符合以下條件之一:
1、中國境內無法獲取;
2、中國境內無法以合理的商業條件獲取;
3、法律法規另有規定確需采購進口產品;
4、國內設備技術性能指標不能滿足需求。
也就是說,只有國內沒有且無法替代的,才能選擇進口,否則,必須優先采購國產設備。
國產替代加速
優秀器械目錄公布
雖說“國產優先”是好事,但是令各大醫療機構、研究單位放心使用國產醫療設備的底氣,同樣也是我國越來越優秀的國產醫療設備制造業帶來的。
在剛剛公布的《關于第七批優秀國產醫療設備產品遴選結果公示的函》中,數字化X線機、超聲診斷儀、人工智能輔助診斷產品、高壓注射器、肝臟超聲診斷儀、呼氣分析儀、液基細胞儀、病理標本取材儲存系統、血氣分析儀、糞便分析儀、血培養儀、微生物培養鑒定與藥敏儀、全自動血凝儀、磁敏免疫分析儀、生化分析儀等大批優秀國產設備上榜,東軟醫療、深圳理邦、安健科技、上海聯影、新華醫療、萬東醫療、深圳邁瑞等多家國內知名械企上榜。

而根據火石創造分析,由于相關基礎學科和制造工藝的不足,我國中高端產品及關鍵零部件主要依賴進口,國內僅承擔了產業鏈低附加值環節,核心技術和高利潤環節依然掌握在跨國企業手中。
但是隨著國內市場持續擴容,中高端國產化需求強烈,國產替代已開始加速。
并且,根據近五年進口和國產器械獲批數量比較,進口器械獲批數量開始出現逐年降低且幅度較大,而國產器械的獲批數量穩中有升,說明國產替代已經開始加速。
來源:醫療器械經銷商聯盟
